奕辰大学作为,新城市的第一名重点大学。靠关系互的倒挺多的,周围已经有好多私家车,将自家宝贝孩子送进学校了……
嗯,我就很……我都不知道我是怎么进入这个学校的,关系户的话早就在十来年前就断了,嗯,现在我成绩排在这整个大学中最后的十来名中,但是入学考试啊,全校第一啊!唉,不说了,说多了都是泪。毕竟曾经的巅峰现在是遗憾的!
不过还别说她们四个一进入学校是真的秒变小可爱了,蹦蹦跳跳跟个小兔子似的,到处瞅着啊。而且看到比如什么新的树叶啥的,总会笑出甜甜的笑。嗯对于新鲜的事物总是满怀好奇,嗯,真是符合幼稚√
我实在忍不住噗嗤一声,笑了一下,因为她们的动作真的好可爱,但又不失搞笑。
不过让我表示有些懵逼的就是我刚刚不就是笑了一下,声音又不怎么大,可为什么被她们正好听到了,她们直接回过头盯着我不走了。同时还发出“盯——”轻微的声音。不过这个样子也好可爱哦,好像揉虐一下……当然这只是我心里想法,如果让她们知道了,我可能就已经又要被刮胡刀好好的教育一下了。
被她们盯着,我也不知道为什么脸涨得通红,一时竟不知该说些什么。
可我这个不知所措的样子,让她们直接挽住我的两只手,拖着我走了……
当时我是真的一脸懵逼的啊!虽然大学没有说不让早恋爱,我在想什么呢?
就这样一直拖到了大二的某间教室。
当然这一路上都少不了一帮吃瓜群众。
[哎,你们看那边有四女争一男唉!]
[我酸了哇!为什么不来争我呢?我难道不风流潇洒,相貌堂堂,一表人才吗?]
[得了吧,就你那德性,我看上你就不错了!]
[这就是传说中的修罗场,男主的后宫……]
……等等一系列吃瓜语言。
来到教室我也来到本属于我的位置,做了下来,做出托腮的动作。因为啊,接下来可以看戏了。
但是她们四个都坐在我的身旁。
“咦,你们确定不跟老师稍微解释一下,就这么坐在这了,虽然我们这边考最后,但是老师一般进入教室第一眼看都是后排!”我有些疑惑的问道。
“啧啧啧!就这?本小姐早就安排好了,她们两个也不例外!这就是金钱的魅力!羡慕不?小伙子。”叶忆寒带着爆发富的气质和让人有些嫉妒的语气说道。
“……”我顿时无语,懒得理她了。
伴随着叮叮叮,老师走进了教室。
“啊哈——”我打了个哈奇,伸了伸懒腰,心里又感叹道唉,又可以睡懒觉喽!
因为呀在心里我早就把自己放弃了,谁学这些玩意,要学的人都下贱!
正打算我要趴在桌子上,把书挡在脸前,准备捂着睡觉时。
老师直接点到我的名字,直接问道。

不过老师问的刚好就是我不会的哦,不管老师问什么,我反正都不知道。我再次伸了伸懒腰,直接走出教室,在门口站着了,反正早已习惯。
而此时教室里的另外她们四人,老师他同样也点名她们让她们回答这道问题。老师本以为她们都会,因为毕竟常年霸占学校前五的人。当然还有个温月琳,也不知道你们还记得不第一卷最后让我活下来的一个我非常想感激的妹子。可是她们一个个不说话,直接也出来陪我了。
这可就把老师气晕了,老师直接走出教室,来到门口,问道:“你们确定这道题你们都不会?除了那个谁萧凌对不会之外,这个可以理解,但你们不会像样吗?”
“不好意思,还真不会!我才不会告诉你,我是要出来陪这个死鬼偷偷聊天的说!”叶忆寒说的话让我有些懵逼,当老师说这些话确定,认真的吗?
老师深深的看了我一眼,不过那眼神简直从原来的不止看我现在变得很厌恶,可看见她们四个都觉得很惋惜。
“你们确定都出来陪我了?这样真的好吗?”我无奈的摇了摇头问道。
“哈?就这没什么的啦”他们几乎一致是这段话。
于是我们就在这门口聊啊,聊,一直聊了,这节课下课。
不过下节课老师依然第一个点我,然后依次是她们,她们依然不答,不过老师只是对我深深看了一眼,那眼神简直厌恶到不行,但看向她们只是有些惋惜,压根就没有批评她们的意思,也没说什么,因为老师知道他们学不学,那最终成绩也是前五,因为哪怕她们当中最差的也能把第六名给碾压,但是并没有责怪她们放弃然后就这么循环着,最终一天过去了。
而下午的班主任说了一句,这周星期五,去澳大利亚某个地区交流学习……
而且是坐的飞机跟隔壁班一起。
于是四天过去后,这四天我也和她们做了不少不得了亲密的事。当然我也不敢吻了,因为我想吻,可是她们一个个都十分拒绝,但是享受了不少美腿的福利也还不错,不过无限世界游戏又发布了最新任务,嗯,正是跟这次去日本交流学习有关,坐飞机肯定要追击,流落到荒岛,然后要生存30天,虽然早告诉了我们,但是尽管我们带很多有利于生存的东西,但是最终都会消失不见……这倒没什么,不就30天吗?而我现在底牌,嗯,好像也就那增强了体质一倍,不过这次只要生存30天足够了,而且还有一本荒岛生存基本手册知识。
我在星期五的早晨看了看天空,嗯,无论这个世界对你怎样,都请你一如既往的努力、勇敢、充满希望。有些事已经熬过去了,还有一些事没有熬过去,但是你迟早得熬过去,所以啊,请各位读者们也要一如既往的努力勇敢,充满希望,加油……
本卷完——
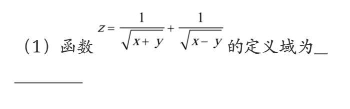
对了,关于那道题,答案鬼晓得,作者,还没学到那个地步呢。
所以各位读者们,有没有大佬帮忙把这道题答案,写在评论上好像一些也不知道答案的人稍微了解一下吧。万分感谢!


